World Coal - January 2016 - page 34

25 mm. No strand failure was detected
during the shearing process as evident
from the post-test dismantled cable bolt
(Figure 7).
The maximum applied shear load on
the UX-Strand (plain) cable of 1024 kN
for vertical shear displacement of
72.5 mmwas 13.8% greater than the
maximum shear load of 904 kN achieved
from the IX strand (indented) cable. As
can be seen in Table 1, the ultimate failure
load of the UX-strand cable bolt of
495 kN is 70 kNmore than the tensile
strength of the IX-Strand cable bolt,
which is an increase in the ultimate
strength of 16.5% in favour of the plain
strand cable bolt. The reduction of 70 kN
in the ultimate tensile strength of the
indented cable bolt may explain the
reason why the cable failed at much
lower shearing load. This reduction in the
indented cable strength was subsequently
verified by tensile strength testing of
cable’s individual strands, which resulted
in a drop in tensile strength of the
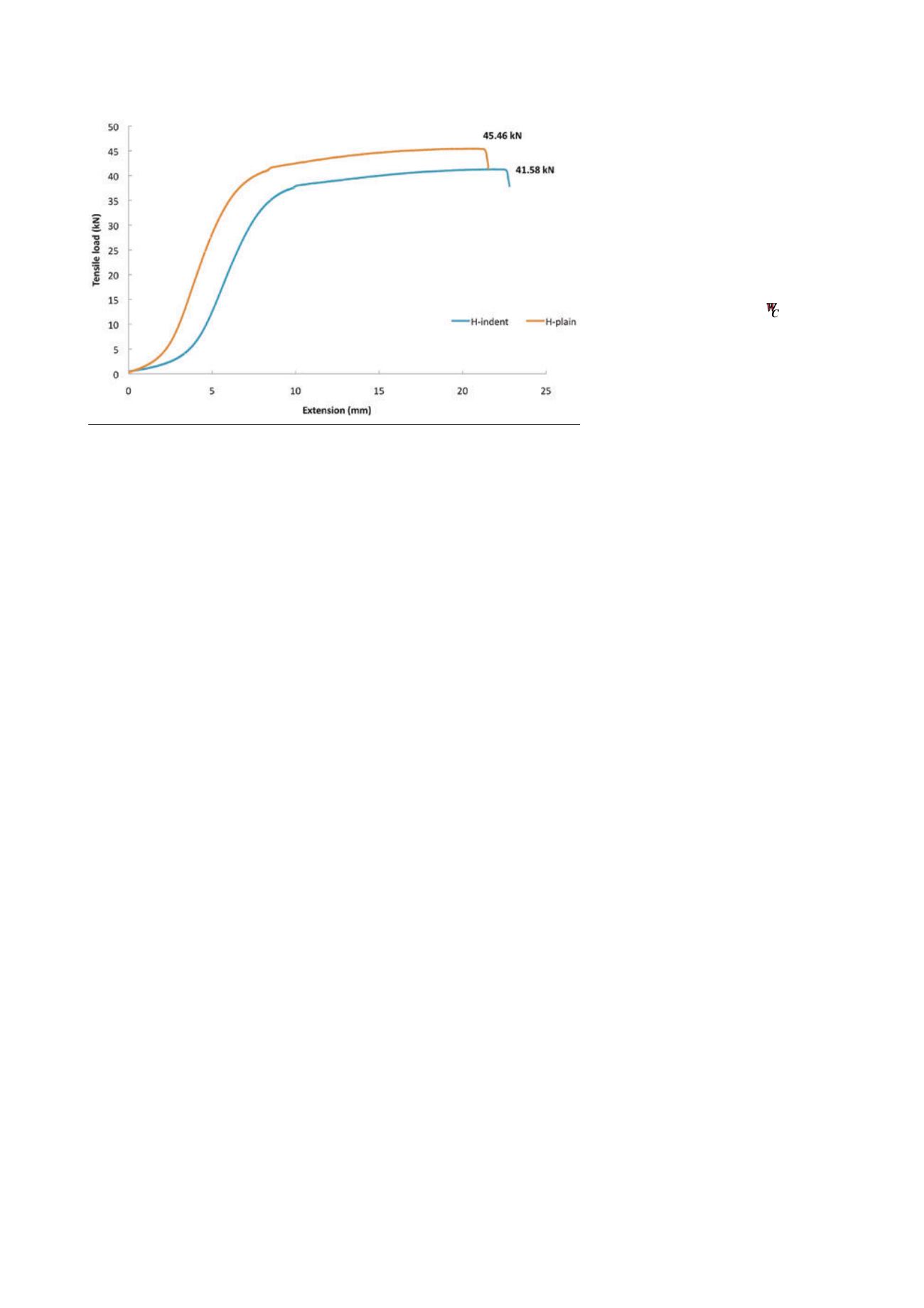
indented strand by 10.0%. Figure 8 shows
typical profiles of load elongation of both
5.5 mm plain and indent strands of cable
bolts. The machining of the outer strands
to create indentation may have a
detrimental bearing on the strand
strength, contributing to the reduced
tensile and shear strength of the cable
bolt. Therefore, it is fair to conclude that
the strand manipulation for producing
indentation may have affected the
ultimate tensile strength of the intended
cable bolt, as the overall cross sectional
area of the indented cable bolt was
reduced 13%. Finally, no cable rotation
was observed in either the plain or
indented strand cable bolt during the
double shearing tests.
Future tests
Future tests will involve testing for cable
shear strength only and without the
shear forces of the concrete joint surfaces
friction, thus enabling a realistic
estimation of the shear strength of the
cable bolt alone.
Conclusions
In light of such analysis, a number of
conclusions may be drawn:
n
n
The shearing strength of the cable
bolt is influenced by the outer
strand indentation, with a reduction
in shearing strength to around
13.8%. The tensile strength failure
of the individual strand resulted in
a strength reduction of 12.8%. Thus,
indentation of the cable bolt’s outer
strand weakens the cable bolts
tensile and shearing strength.
n
n
All strands of the indented cable
bolt failed post peak shear load.
No strand failures were observed
in the plain strand cable bolt tested
in shear. No strand failures were
observed in the plain strand of
the cable bolt tested in shear for
the range of vertical displacement
undertaken.
n
n
All strands of the IX-strand cable
failed in a mixture of pure shear
(central core), pure tension (cone
and cup) and a combination of
tensile and shear.
n
n
The use of the laboratory based
double embedment assembly for
shear test as recommended by
BS 7961-2 2009 is not a realistic way
of evaluating the shear strength of
cable bolts in situ.
n
n
No cable rotation was detected in
double shear testing of either plain
or indented cable bolts.
Acknowledgements
Special thanks to Alan Grant, Cole Devonshire
and Cameron Nielson of the School of Civil,
Mining and environmental Engineering,
University of Wollongong for their technical
support during preparation and testing stages
of this study.
References
1. CLIFFORD, B., KENT, L., ALTOUNJAN,
P. and BIGBY, D., ‘Systems used in Coal
Mining Development in Long Tendon
Reinforcement’,
Proceedings of the 20
th
International Conference on Ground Control
in Mining (
Morgantown, West Virginia;
2001), pp. 235 – 241.
2. TADOLINI, C.S., TINSLY, J. and
MCDONNELL, J.P., ‘The Next Generation
of Cable Bolts for Improved Ground
Control’,
Proceedings 31
st
International
Conference on Ground Control in Mining
(
Morgantown, West Virginia; 2012).
3. THOMAS, R., ‘The Load Transfer
Properties of Post Groutable Cable Bolts
used in the Australian Coal Industry’,
Proceedings 31
st
International Conference on
Ground Control in Mining (
Morgantown,
West Virginia; 2012).
4. GORIS, J.H., MARTIN, L.A. and CURTIN,
R.P., ‘Shear Behaviour of Cable Bolt
Supports in Horizontal, Bedded Deposits’,
Proceedings of the 15
th
International
Conference on Ground Control in Mining
(Morgantown, West Virginia; 1996),
pp. 511 – 521.
5. British Standard BS 7861-2 (2009):
Strata reinforcement support system
components in coal mines Part 2.
Specification for flexible systems for roof
reinforcement.
6. CRAIG, P. and AZIZ, N., ‘Shear Testing
of 28 mm Hollow Strand ʼTg’ Cable Bolt’,
Proceedings of the 10
th
Underground Coal
operators Conference
, (Wollongong; 2010),
pp. 171 – 179.
7. CRAIG, P. and AZIZ, N., ‘Shear Testing
of 28 mm Hollow Strand ‘Tgʼ Cable Bolt’,
Proceedings 29
th
International Conference on
Ground Control in Mining
(Morgantown,
West Virginia; 2010), pp. 169 – 174.
8. JALALIFAR, H., AZIZ, N. and HADI, M.,
‘The Effect of Surface Profile, Rock
Strength and Pretension Load on Bending
Behaviour of Fully Grouted Bolts’,
Journal
of Geotechnical and Geological Engineering
24
(2006), pp. 1203 – 1227.
Figure 8. Tensile load/elongation profiles of both plain and indent 5.5 mm strands of
cable bolts.
32
|
World Coal
|
January 2016
1...,24,25,26,27,28,29,30,31,32,33 35,36,37,38,39,40,41,42,43,44,...60
Powered by FlippingBook